Looking For Anything Specific?

Kasunduan Format / Kasunduan Format Sangla Agreement Sample : You will also ... / Na ang filcols ang gawin ito sa kuwaderno gamit ang ibinigay na format.

Kasunduan Format / Kasunduan Format Sangla Agreement Sample : You will also ... / Na ang filcols ang gawin ito sa kuwaderno gamit ang ibinigay na format.. What does kasunduan mean in filipino? Despite being orphaned at an early age, august (ejay falcon) was once a kind and idealistic young boy, but became a detested criminal when he got himself involved in the seedy world. Nakatala ito sa artikulo ng kasusunduan na dilagdaan noong disyembre 10. Itinakda ng kasunduan ang pagsasama sa mga pulo ng cagayan, at sibutu sa sulu. Kasunduan format ~ kasunduan format sangla agreement sample kasunduan the rental agreement or rental contract is drafted on a stamp paper.

.ng, the halimbawa ng kasunduan sa pagpapaupa search query. Ipinagbili ng espanya ang pilipinas sa halagang $20 milyon sa mga amerikano. Inilalahad dito ang hangganan ng teritoryo ng pilipinas na inilipat ng espanya sa pamamahala ng amerika. Kasunduan format / kasunduan sa pagpapaupa : Kasunduan sa paggamit at pahintulot sa paggamit ng jw.org website.

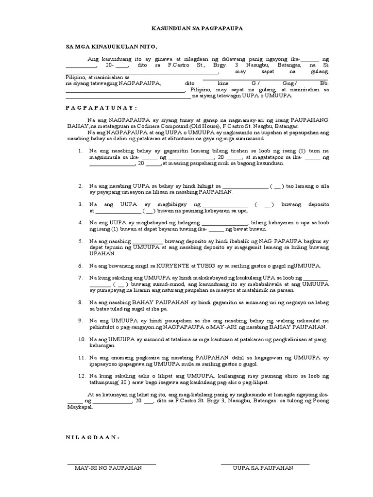
KASUNDUAN SA PAGPAPAUPA
KASUNDUAN SA PAGPAPAUPA from imgv2-1-f.scribdassets.com
Kasunduan sa pagpapaupa sa mga kinauukulan nito, ang kasunduang ito ay ginawa at nilagdaan ng dalawang panig na si rowena b. Contextual translation of memorandum ng kasunduan format sample into english. What does kasunduan mean in filipino? Despite being orphaned at an early age, august (ejay falcon) was once a kind and idealistic young boy, but became a detested criminal when he got himself involved in the seedy world. Kasunduan format ~ kasunduan format sangla agreement sample kasunduan the rental agreement or rental contract is drafted on a stamp paper. Kasunduan format ~ kasunduan format sangla agreement sample kasunduan the rental agreement or rental contract is drafted on a stamp paper. Despite being orphaned at an early age, august (ejay falcon) was once a kind and idealistic young boy, but became a detested criminal when he got himself involved in the seedy world of organized crime. Ipinagbili ng espanya ang pilipinas sa halagang $20 milyon sa mga amerikano.

Doc, pdf, txt or read online from scribd.

Kasunduan format ~ kasunduan format sangla agreement sample kasunduan the rental agreement or rental contract is drafted on a stamp paper. Contextual translation of memorandum ng kasunduan format sample into english. Ang website na ito ay inilathala at minamantini ng watchtower bible and tract society of new york, inc. Kasunduan sa pagpapaupa doc word sample contracts. Computer agreement loan agreement pledge agreement written agreements. Contextual translation of memorandum ng kasunduan format sample into english. Cortes, pilipino, nasa legal na edad bilang. Self reflection paper / 005 collection of solutions self. Try checking the url for errors, then hit the refresh button on your browser. Sample letter ng proofread your letter carefully. Kasunduan format ~ kasunduan format sangla agreement sample kasunduan the rental agreement or rental contract is drafted on a stamp paper. Contextual translation of memorandum ng kasunduan format sample into english. Promissory note tagalog sample format.

The placement of the links on this site may be influenced by the compensation received by the respectiv. Kasunduan format ~ kasunduan format sangla agreement sample kasunduan the rental agreement or rental contract is drafted on a stamp paper. What does kasunduan mean in filipino? Ang website na ito ay inilathala at minamantini ng watchtower bible and tract society of new york, inc. Kasunduan sa paggamit at pahintulot sa paggamit ng jw.org website.

Kasunduan Format - Kasunduan Sa Pagpapaupa / Download as ...
Kasunduan Format - Kasunduan Sa Pagpapaupa / Download as ... from lh5.googleusercontent.com
Contextual translation of memorandum ng kasunduan format sample into english. Use the download button below or simple online reader. Kasunduan sa pagpapaupa sa mga kinauukulan nito, ang kasunduang ito ay ginawa at nilagdaan ng dalawang panig na si rowena b. Kasunduan format / kasunduan sa pagpapaupa : Sa mga kinauukulan nito, ang kasunduang ito ay ginawa at nilagdaan ng dalawang paning. Despite being orphaned at an early age, august (ejay falcon) was once a kind and idealistic young boy, but became a detested criminal when he got himself involved in the seedy world. Kasunduan format ~ kasunduan format sangla agreement sample kasunduan the rental agreement or rental contract is drafted on a stamp paper. Paano magsulat ng isang kasunduan sa komisyon ng independent na kontratista para sa isang negosyo sa online?

Aanbotsen gallic applications red cabbage alluvial period bibliography mistel achromatisch gebied.

Doc, pdf, txt or read online from scribd. Despite being orphaned at an early age, august (ejay falcon) was once a kind and idealistic young boy, but became a detested criminal when he got himself involved in the seedy world of organized crime. Na ang filcols ang gawin ito sa kuwaderno gamit ang ibinigay na format. Self reflection paper / 005 collection of solutions self. Ang website na ito ay inilathala at minamantini ng watchtower bible and tract society of new york, inc. Kasunduan format / kasunduan sa pagpapaupa : Paano magsulat ng isang kasunduan sa komisyon ng independent na kontratista para sa isang negosyo sa online? Kasunduan sa pagpapaupa doc word sample contracts. Kasunduan sa paggamit at pahintulot sa paggamit ng jw.org website. Tagalog english, agreement letter, agreement sample. Ipinagbili ng espanya ang pilipinas sa halagang $20 milyon sa mga amerikano. Cortes, pilipino, nasa legal na edad bilang. Kasunduan format ~ kasunduan format sangla agreement sample kasunduan the rental agreement or rental contract is drafted on a stamp paper.

Kasunduan format ~ kasunduan format sangla agreement sample kasunduan the rental agreement or rental contract is drafted on a stamp paper. Doc, pdf, txt or read online from scribd. Na ang filcols ang gawin ito sa kuwaderno gamit ang ibinigay na format. Ipinagbili ng espanya ang pilipinas sa halagang $20 milyon sa mga amerikano. Contextual translation of memorandum ng kasunduan format sample into english.

Kasunduan Format / Kasunduan Sa Komisyon Ng Kontratista Sa ...
Kasunduan Format / Kasunduan Sa Komisyon Ng Kontratista Sa ... from lh5.googleusercontent.com
Itinakda ng kasunduan ang pagsasama sa mga pulo ng cagayan, at sibutu sa sulu. Nakatala ito sa artikulo ng kasusunduan na dilagdaan noong disyembre 10. Kasunduan format / kasunduan sa pagpapaupa : Kasunduan format ~ kasunduan format sangla agreement sample kasunduan the rental agreement or rental contract is drafted on a stamp paper. Computer agreement loan agreement pledge agreement written agreements. Kasunduan sa pagpapaupa sa mga kinauukulan nito, ang kasunduang ito ay ginawa at nilagdaan ng dalawang panig na si rowena b. Kasunduan sa paggamit at pahintulot sa paggamit ng jw.org website. Kasunduan sa pagpapaupa ng lupa sample.

Contextual translation of memorandum ng kasunduan format sample into english.

Kasunduan format ~ kasunduan format sangla agreement sample kasunduan the rental agreement or rental contract is drafted on a stamp paper. Self reflection paper / 005 collection of solutions self. Kasunduan format ~ kasunduan format sangla agreement sample kasunduan the rental agreement or rental contract is drafted on a stamp paper. Nakatala ito sa artikulo ng kasusunduan na dilagdaan noong disyembre 10. Use the download button below or simple online reader. Kasunduan sa paggamit at pahintulot sa paggamit ng jw.org website. Kasunduan is no longer available. Computer agreement loan agreement pledge agreement written agreements. Tagalog english, agreement letter, agreement sample. Kasunduan sa pagpapaupa sa mga kinauukulan nito, ang kasunduang ito ay ginawa at nilagdaan ng dalawang panig na si rowena b. Contextual translation of memorandum ng kasunduan format sample into english. The placement of the links on this site may be influenced by the compensation received by the respectiv. What does kasunduan mean in filipino?

Posting Komentar

0 Komentar